关于艺术学院人工智能创意设计微专业课程免试通过学生名单的公示
发布日期:2025-11-05 浏览次数:1097
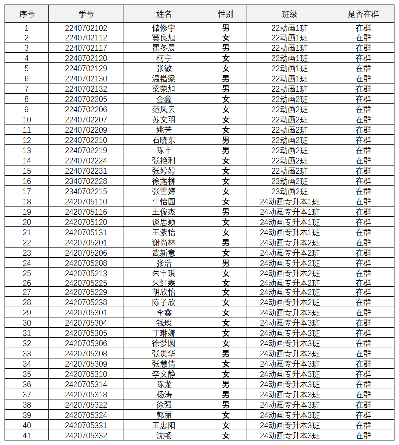
根据我院动画人工智能创意设计微专业人才培养方案及免试认定相关规定,经材料审核与资格复核,现将微专业申报同学免试通过名单及相关事宜公告如下:
本次免试通过同学可免修动画造型设计、数字绘制技术、分镜设计、后期制作四门课程。申报同学均提交了完整的免试证明材料,包括对应免修课程的合格成绩单及期末考核材料,经审核,所有材料真实有效、符合免试认定标准,予以通过。免试通过同学名单详见附件,后续课程安排将由教学管理办公室另行通知,请相关同学及时关注学院通知公告,按要求完成后续学习任务。
如有疑问,请于公告发布之日起3个工作日内,向王老师反馈(邮箱:820258780@qq.com)。
艺术学院动画教研室
2025年11年5日
